
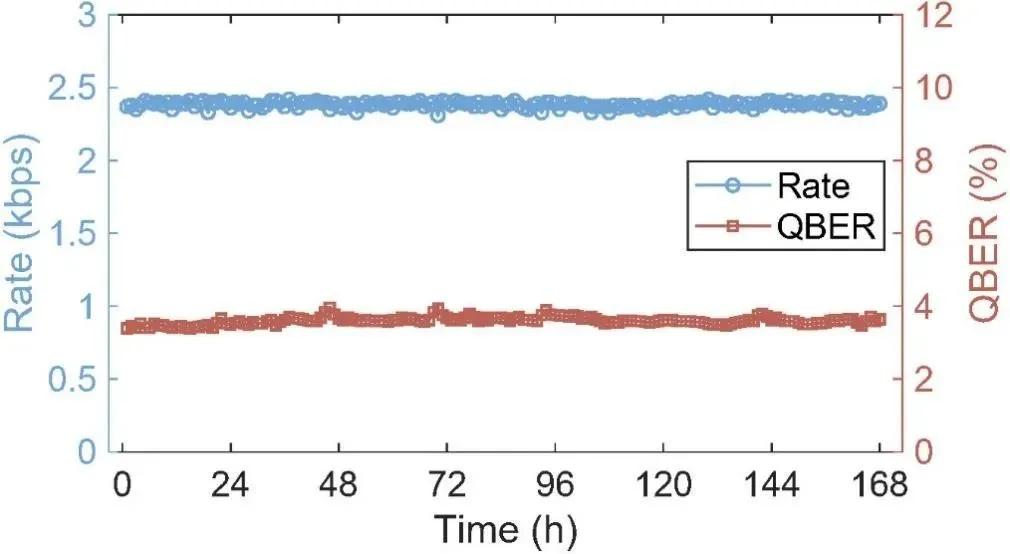
近日,储能量子直接通信与计算团队作为参研单位,与北京量子信息科学研究院和清华大学相关团队合作,提出单向量子直接通信理论,成功研制出实用化系统,创造了在104.8公里标准光纤通信实验测试中连续168小时、速率为2.38kbps的稳定传输世界纪录。相关成果于2025年2月21日在国际知名学术期刊《Science Advances》(《科学进展》)上发表,这标志着量子直接通信从理论构想成功迈向实际应用阶段。

单向量子直接通信理论方案
量子直接通信具有窃听感知、阻止窃听、兼容现有网络、简化管理流程以及隐蔽传输等五大特性,为保障信息传输安全提供了全新解决方案。此前,国际上多个团队曾提出的单向量子直接通信方案,仅在无损耗的理想条件下可行,在高损耗和高噪声的现实环境中开展困难重重。此项研究中,研究团队成功突破了高噪高损信道编码、信道掩码增容、高速量子态调制解调等系列关键技术,提出单向量子直接通信理论方法,利用同一组光量子态同时实现了信息的安全传输与密钥协商,极大地提升了量子直接通信的性能,有望广泛应用于政务、金融等对信息安全要求极高的应用领域,以及智慧韧性城市治理涉及的能源电力传输、综合能源“源-网-荷-储”系统、智慧交通、无人机低空通信等对通信网络安全和算力提升要求高的应用场景,切实增强通信安全性。

信息传输速率与量子比特误码率测试结果
参研团队由我院郑超教授领衔,在项目开展过程中,团队从智慧韧性城市治理涉及的能源电力传输、“源-网-荷-储”系统、智慧交通、无人机低空通信等应用场景中的安全性和实用化出发,对理论方案和实验协议进行了设计和优化,为最终取得该突破性成果起到重要支撑作用。该项研究依托william威廉英国“智慧韧性城市治理”分析测试中心国债项目和储能新兴交叉学科平台等科研项目、平台开展,体现了我校开展高水平应用研究、取得突破性实用化成果的能力。

新华网、人民日报、人民网、北京日报、光明日报、中国青年网、绿色中国、凤凰网、环球时报、新浪网等社会主流媒体对该项成果进行了报道。



附:成果原文链接Simultaneous transmission of information and key exchange using the same photonic quantum states